VIVE. Revista de Investigación en Salud

https://revistavive.org

Volumen 7 No. 20, mayo-agosto 2024

ISSN: 2664-3243

ISSN-L: 2664-3243

pp. 438 – 450

 

Asociación de trastornos cutáneos y microorganismos presentes en el tracto intestinal ligados a disbiosis

Association of skin disorders and microorganisms present in the intestinal tract linked to dysbiosis

Associação de doenças de pele e microrganismos presentes no trato intestinal ligados à disbiose

 

Zulay Rivera

unimelpublicaciones@gmail.com

https://orcid.org/0000-0002-1278-6691

 

Víctor Ollarves

drvictorlaser@gmail.com

https://orcid.org/0000-0002-6245-0854

 

Ingrid Rivera

draingridderma@gmail.com

https://orcid.org/0000-0001-9073-5841

 

Isabel Hagel

isabelhagel@gmail.com

https://orcid.org/0000-0003-4464-1830

 

Dennis Alexander Lugo

deallugo@gmail.com

https://orcid.org/0000-0002-1797-7489

 

Denisse Ortiz

ortizdenissester@gmail.com

https://orcid.org/0009-0000-6135-9971

 

Marielly Herrera

dramarielly.herrera@gmail.com

https://orcid.org/0009-0003-8203-692X

 

Unidad Medico Estética Láser (UNIMEL). Caracas, Venezuela

 

Artículo recibido 28 de noviembre 2023 | Aceptado 22 de enero 2024 | Publicado 8 de mayo 2024

 

Escanea en tu dispositivo móvil o revisa este artículo en:

https://doi.org/10.33996/revistavive.v7i20.312

 

RESUMEN

Introducción: Existe una conexión bidireccional entre mecanismos fisiológicos del intestino y la piel que puede asociarse al desarrollo de patologias cutâneas. Objetivo: Estudiar la relación entre afecciones cutáneas con la presencia de patógenos intestinales causantes de disbiosis intestinal. Metodología: Se realizó un estudio para identificar la presencia de bacterias aeróbicas y anaeróbicas facultativas en un grupo de 45 pacientes (edad de 32,8 ± 18 años) que presentaron distintas afecciones cutáneas diagnosticadas en la consulta de Dermatología de UNIMEL, Caracas, Venezuela. La presencia de bacterias se determinó por cultivo diferencial, y la identificación de microorganismos mediante pruebas bioquímicas convencionales, prueba de filamentización en suero, medios automatizados (VITEK® 2 Compact) y pruebas de aglutinación. Se realizó un análisis estadístico descriptivo de la abundancia relativa de la microbiota gastrointestinal asociada a las afecciones cutáneas presentes (GraphPad Prism versión 8.0.2 para Windows) y análisis multivariado (NMDS) con (software PAST v4.13). Resultados: La presencia de acné, dermatitis atópica y nevus se asoció (p<0.05) al aumento de las colonias de Enterococcus faecium, E. coli, Enteroccocus faecalis y Klepsiella sp. Una disminución significativa en el número de colonias de E. coli (p<0.05) se asoció con la presencia de rosácea y acné inflamatorio mientras que su abundancia se asoció a la presencia de patologías como acantosis nigicans, dermatitis atópica, dermatitis papular y queratosis. La presencia de pseudomonas se relacionó con queratosis y Nevus melanocítico. Conclusión: Aunque preliminares, estos resultados sugieren que alteraciones en la composición microbiana intestinal pueden asociarse significativamente a afecciones cutáneas.

 

Palabras clave: Intestino; Piel; Afecciones cutáneas; Disbiosis intestinal

 

SUMMARY

Introduction: There is a bidirectional connection between physiological mechanisms of the intestine and the skin that can be associated with the development of skin pathologies. Objective: To study the relationship between skin conditions with the presence of intestinal pathogens that cause intestinal dysbiosis. Methodology: A study was carried out to identify the presence of aerobic and facultative anaerobic bacteria in a group of 45 patients (age 32.8 ± 18 years) who presented different skin conditions diagnosed in the Dermatology clinic of UNIMEL, Caracas, Venezuela. The presence of bacteria was determined by differential culture, and the identification of microorganisms by conventional biochemical tests, serum filamentation test, automated media (VITEK® 2 Compact) and agglutination tests. A descriptive statistical analysis of the relative abundance of the gastrointestinal microbiota associated with the present skin conditions was performed (GraphPad Prism version 8.0.2 for Windows) and multivariate analysis (NMDS) with (PAST v4.13 software). Results: The presence of acne, atopic dermatitis and nevus was associated (p<0.05) with the increase in colonies of Enterococcus faecium, E. coli, Enteroccocus faecalis and Klepsiella sp. A significant decrease in the number of E. coli colonies (p<0.05) was associated with the presence of rosacea and inflammatory acne while its abundance was associated with the presence of pathologies such as acanthosis nigicans, atopic dermatitis, papular dermatitis and keratosis. The presence of pseudomonas was related to keratosis and melanocytic nevus. Conclusion: Although preliminary, these results suggest that alterations in intestinal microbial composition can be significantly associated with skin conditions.

 

Keywords: Intestine; Skin; Skin conditions; Intestinal dysbiosis

 

RESUMO

Introdução: Existe uma ligação bidirecional entre mecanismos fisiológicos do intestino e da pele que pode estar associada ao desenvolvimento de patologias cutâneas. Objetivo: Estudar a relação entre as condições da pele com a presença de patógenos intestinais causadores de disbiose intestinal. Metodologia: Foi realizado um estudo para identificar a presença de bactérias aeróbias e anaeróbias facultativas em um grupo de 45 pacientes (idade 32,8 ± 18 años) que apresentavam diferentes condições de pele diagnosticadas na clínica de Dermatologia da UNIMEL, Caracas, Venezuela. A presença de bactérias foi determinada por cultura diferencial, e a identificação de microrganismos por testes bioquímicos convencionais, teste de filamentação sérica, meios automatizados (VITEK® 2 Compact) e testes de aglutinação. Foi realizada análise estatística descritiva da abundância relativa da microbiota gastrointestinal associada às presentes condições de pele (GraphPad Prism versão 8.0.2 para Windows) e análise multivariada (NMDS) com (software PAST v4.13). Resultados: A presença de acne, dermatite atópica e nevo esteve associada (p<0,05) ao aumento de colônias de Enterococcus faecium, E. coli, Enteroccocus faecalis e Klepsiella sp. Uma diminuição significativa no número de colônias de E. coli (p<0,05) foi associada à presença de rosácea e acne inflamatória, enquanto sua abundância foi associada à presença de patologias como acantose nigicans, dermatite atópica, dermatite papular e ceratose. A presença de pseudomonas foi relacionada à ceratose e ao nevo melanocítico. Conclusão: Embora preliminares, estes resultados sugerem que alterações na composição microbiana intestinal podem estar significativamente associadas a doenças da pele.

 

Palavras-chave: Intestino; Pele; Doenças da pele; Disbiose intestinal

 

INTRODUCCIÓN

El ser humano es un holobionte. Además de células eucariotas organizadas para formar tejidos y órganos alberga miles de millones de microorganismos que participan en distintos procesos fisiológicos indispensables para la vida a cambio de hábitat y nutrientes.  La microbiota, incluyendo la de la piel ejerce funciones de defensa, barrera y regulación en múltiples funciones inmunológicas, siendo así que esta comienza a desarrollarse desde el nacimiento, evoluciona de manera progresiva e irá variando de acuerdo con la edad y/o estilo de vida, sexo, o incluso el lugar donde esté ubicada, entre otros factores (1–3).

Utiliza como medio de comunicación una red compleja integrada por distintos mecanismos de señalización molecular (1–3) y varía de acuerdo a su distribución topográfica y funcional en el cuerpo (4). Comprende tanto comensales, aquellos que mantienen una relación neutra, es decir, ninguno se aprovecha del otro, mutualistas que establecen una interacción biológica, entre individuos de diferentes especies, en donde ambos se benefician y mejoran su aptitud biológica, como patógenos los cuales son responsables de alterar la homeostasis del sistema y causar enfermedad (4).

La microbiota de la piel es un ecosistema compuesto por una multitud de especies microbianas que interactúan con su entorno, incluidos otros microbios y células epiteliales e inmunitarias del huésped. Estas interacciones brindan beneficios al huésped, impulsando múltiples aspectos de la función de barrera, una función crítica de este órgano esencial, así como de regulación del sistema inmune sin causar daño al hospedador. No obstante, estos microorganismos residentes de la piel funcionan de manera dependiente del contexto de un anfitrión dinámico y un entorno microbiano que en algunas condiciones puede conducir al desarrollo de patologías (5).

Por otra parte, el intestino y la piel, comparten funciones inmunitarias y neuroendocrinas cruciales, intercambian información con el entorno externo, por lo cual  son esenciales para el mantenimiento de la homeostasis fisiológica (6). La evidencia acumulada ha demostrado una conexión bidireccional íntima entre el intestino y la piel. Los trastornos gastrointestinales a menudo se acompañan de manifestaciones cutáneas (7) y en particular el entorno microbiano intestinal, parece participar en la fisiopatología de trastornos inflamatorios de la piel (8).

El microbioma intestinal influye en la composición del microbioma de la piel por medio de los ácidos grasos de cadena corta (AGCC) resultantes de la fermentación de fibra en el intestino, tales como propionato, acetato y butirato (9). Estos AGCC influyen en el perfil microbiano de la piel. Por ejemplo, Propionibacterium es un género capaz de producir AGCC, predominantemente acetato y ácido propiónico. El ácido propiónico tiene un profundo efecto antimicrobiano contra el Staphylococcus aureus resistente a la meticilina (9). Alternativamente, S. epidermidis y P. acnes son ejemplos de comensales cutáneos conocidos por tolerar cambios de AGCC más amplios que otros componentes de la microbiota de la piel (9).

También, la microbiota intestinal tiene un efecto modulador sobre la inmunidad sistémica incluyendo los procesos de inmunidad cutánea. Ciertos microbios y metabolitos intestinales tales como ácido retinoico, el polisacárido A de Bacteroides fragilis, Faecalibacterium prausnitzii y bacterias pertenecientes a los grupos de Clostridium IV y XI, promueven la acumulación de células T reguladoras, las cuales estimulan el control de la respuesta antiinflamatoria (10).

Los AGCC, en particular el butirato, suprimen las respuestas inmunitarias al inhibir la proliferación, migración, adhesión y producción de citocinas de las células inflamatorias. Además, mediante la inhibición de la histona desacetilasa y la inactivación de las vías de señalización de NF-κB, los AGCC regulan tanto la activación como la apoptosis de las células inmunitarias. La inhibición de la histona desacetilasa promueve la proliferación de células reguladoras involucradas en diversas funciones fisiológicas cutáneas, incluida la regulación de la diferenciación de células madre del folículo piloso y la cicatrización de heridas (11). En cambio, las bacterias filamentosas segmentadas en las placas de Peyer en el intestino, promueven la acumulación de células Th17 que puede influenciar el curso de enfermedades inflamatorias cutáneas como la psoriasis (12).

Existe también evidencia de que el microbioma intestinal puede afectar la fisiología cutánea, la patología y la respuesta inmunitaria de manera más directa, a través de la metástasis de la microbiota intestinal y sus metabolitos hacia la piel (6). Cuando se altera la barrera intestinal, las bacterias intestinales y sus metabolitos, pueden acceder al torrente sanguíneo, se acumulan en la piel en donde alteran los procesos de homeostasis (6). De hecho se ha aislado ADN de bacterias intestinales  del plasma de pacientes con psoriasis (6).

La disbiosis intestinal, un estado de desequilibrio microbiano, tiene el potencial de afectar negativamente la función de la piel. Bacterias patógenas, en particular Clostridium difficile producen productos metabólicos de aminoácidos aromáticos como fenol libre y el P-cresol, por lo que son un buen marcador de disbiosos, Estos metabolitos pueden acceder a la circulación, acumularse preferentemente en la piel y afectar la diferenciación epidérmica y la integridad de la barrera cutánea. De hecho, elevados niveles séricos de P-cresol están asociados con la reducción en la hidratación de la piel y alteraciones en el proceso de queratinización (13,14).

Tomando en cuenta estos antecedentes se realizó un estudio exploratorio en un grupo de pacientes que presentaban distintas afecciones cutáneas para estudiar su posible relación con la presencia de distintos patógenos intestinales cuya presencia implica el desarrollo de mecanismos de disbiosis.

 

MATERIALES y MÉTODOS

Se realizó un estudio no seleccionado para determinar la presencia de bacterias aeróbicas y anaeróbicas facultativas de proveniencia intestinal en un grupo de 45 pacientes con un promedio de edad de 32,8 ± 18 años, en donde el 76% eran mujeres y el 24% varones, que presentaron distintas afecciones cutáneas diagnosticadas en la consulta de Dermatología de la Unidad Médico Estética Láser (UNIMEL), Caracas, Venezuela.

El trabajo se realizó bajo consentimiento informado de los pacientes y fue aprobado por el Comité de Bioética de UNIMEL. Participaron todos aquellos pacientes que manifestaron su deseo de formar parte de este estudio y a los cuales fue posible tomar la muestra de heces respectiva para evaluar las alteraciones en la composición de la microbiota intestinal.

 

Evaluación por cultivo de la Disbiosis gastrotestinal

 

Se recolectaron de los pacientes evaluados muestras de heces frescas en medios de conservación y transporte (Stuart o Ammies y Cary-Blair), provistos de nutrientes específicos, con bajo potencial oxido-reducción y pH adecuado para la recuperación de microorganismos.

Luego las muestras fueron sembradas en base a cuatro cuadrantes, para su posterior lectura e interpretación, en medios de cultivos selectivos y diferenciales: Levine (Oxoid), MacConkey (Oxoid), SS agar (Oxoid), XLD (Oxoid), TCBS (Oxoid), Campylobacter libre de sangre (Oxoid), CNA (Agar sangre con suplemento CNA-Oxoid) para la obtención de Bacterias enteropatógenas, flora benéfica y transitoria, Gram negativos y Gram positivos.

 

Para la recuperación de hongos levaduriformes y filamentosos, se sembró la muestra en medios de Sabouraud Dextrosa Agar (Oxoid), Sabouraud Dextrosa Agar+Gentamicina Chromo Agar (Oxoid) y Mycosel Agar (BBL).

La identificación de los microorganismos se realizó mediante pruebas bioquímicas convencionales, prueba de filamentización en suero, medios automatizados (VITEK® 2 Compact) y pruebas de aglutinación.

Las condiciones de la microbiota gastrointestinal aeróbica, se evaluaron en base al crecimiento de microorganismos beneficiosos, transitorios y/o presencia de enteropatógenos, utilizando como indicadores:

·                    Microbiota residente normal: E.coli, Enterococcus, Lactobacillus sp., Bifidubacterium sp., Bacteroides.

·                    Microbiota pasajera o transitoria: Klebsiella spp, Proteus spp., Enterobacter spp., Pseudomonas, Staphylococcus, Streptococcus, E. coli Lactosa negativa.

·                    Microbiota enteropatógena: Salmonella sp., Shigella sp., Aeromona sp., Plesiomona sp., Yersinia, Vibrio sp., Campylobacter sp.

·                    Levaduras: Cándidas.

 

Análisis estadísticos

 

Se realizó un análisis descriptivo de la abundancia relativa de la microbiota gastrointestinal asociada a las afecciones cutáneas presentes cuando se tomó la muestra de cultivo, se compararon las medias de los valores obtenidos de crecimiento de cada microorganismo a través del test de Mann-Whitney. Todos los datos fueron evaluados utilizando el programa GraphPad Prism versión 8.0.2 para Windows (GraphPad Software, San Diego California USA). Asimismo, se realizó un análisis multivariado de Escalamiento multidimensional no-métrico (NMDS) mediante distancia Euclídea, con el paquete de software PAST (Palaeon tological Statistics) v4.13. Las comparaciones fueron consideradas significativas para todo p< 0,05.

 

RESULTADOS

En la Tabla 1 se describen las distintas afecciones cutáneas diagnosticadas en los pacientes, en donde se puede observar que la patología más frecuente en el grupo de pacientes fue el acné inflamatorio, seguido de la dermatitis atópica y la rosácea.

 

Tabla 1. Frecuencia de afecciones cutáneas en un grupo de pacientes con alteraciones en la composición bacteriana intestinal

Afecciones cutáneas

n

%

Acantosis nigricans

3

7

Acné inflamatorio moderado

12

27

Dermatitis atópica

5

11

Dermatosis papular nigricans

3

7

Foliculitis

3

7

Nevus melanocítico generalizados

3

7

Pitiriasis versicolor

3

7

Queratosis

3

7

Rosácea eritematotelangiectasia

4

9

SAHA

3

7

Tinea unguium

3

7

 

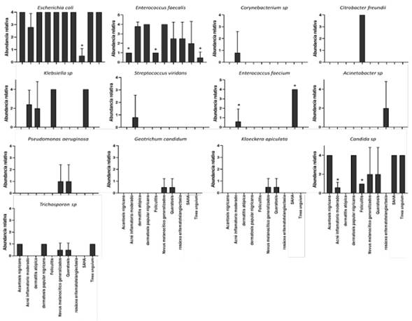
Posteriormente, se analizó la presencia de bacterias aeróbicas o anaeróbicas facultativas, algunas de ellas patógenas en muestras de heces de los pacientes con distintas afecciones cutáneas Figura 1.


 


Figura 1. Distribución de la abundancia relativa de la microbiota gastrointestinal asociada a las afecciones cutáneas. *p< 0,05; test de Mann-Whitney


 


Una disminución significativa en el número de colonias de E. coli se relaciona con la presencia de signos clínicos relacionados a la rosácea y acné inflamatorio mientras que su abundancia se asoció a la presencia de patologías como acantosis nigicans, dermatitis atópica, dermatitis papular y queratosis. La acantosis nigricans y la dermatitis papular también se relacionaron con una disminución significativa de la bacteria Enterococcus feacalis. Se encontró un aumento en la proporción de Corynebacterium sp y de Streptococcus Viridans cuando los pacientes presentaban acné. Así, Citrobacter freundii y Klepsiella sp se presentaban en una mayor proporción en foliculitis.

Además, se puede observar una relación entre el aumento de las colonias de Enterococcus faecium y acné inflamatorio, así como entre rosácea con mayor proporción de Acinetobacter sp. La presencia de pseudomonas se relacionó con queratosis y la presencia de Nevus melanocítico, cuando este último se presentaba de forma generalizada en los pacientes, los cuales también se asociaron con la presencia de Geotrichum y Kloekera. Igualmente se puede apreciar una relación significativa entre una mayor proporción de Cándida con Nevus melanocítico y queratosis, mientras que la disminución de esta bacteria se asoció a la presencia de foliculitis y acné. Trichosporum sp se encontraba en baja proporción asociado a acantosis, dermatosis papular, nevus, queratosis y Tinea unguium.

 

Figura 2. Diversidad bacteriana y relación con la presencia de afecciones cutáneas

 

Aunque los resultados de este análisis no son concluyentes en cuanto a la determinación de la diversidad de la microbiota evaluada, permitieron algunas aproximaciones. Es así como en la Figura 2 se puede apreciar que la acantosis, dermatosis y tineas están asociadas a una menor diversidad bacteriana, en donde proliferan microorganismos cómo hongos. En el caso de la rosácea la misma se encontró cuando el número de colonias de E. coli disminuye, condición que favorece el aumento de la población de Acinetobacter, lo que se observó solo en el grupo de pacientes con esta condición clínica. La dermatitis atópica, la dermatosis papular y la queratosis se asociaron a una menor diversidad con predominio de E. coli, Enteroccocus faecalis y Klepsiella sp.

A continuación, en la Figura 3 se muestra el plot del análisis multivariado, en donde se realizó un NMDS para la comparación de la diversidad de las comunidades microbianas por condición clínica y la relación de los perfiles de microorganismos que se encontraron en las diferentes condiciones clínicas evaluadas.

 

Figura 3. Escalamiento multidimensional no métrico (NMDS), plot basado en la distancia Euclídea y la asociación entre la composición de la microbiota gastrointestinal y la presencia de afecciones cutáneas.

 

En este sentido, se puede observar que los pacientes con tinea, dermatosis y acantosis se asociaron a una composición microbiana similar. Los pacientes con saha y foliculitis se asociaron a perfiles microbianos característicos que los diferencian entre los demás grupos.

Los pacientes con acné, dermatitis, nevus y queratosis tienen un comportamiento similar. Mientras que el perfil bacteriano asociado a la rosácea comparte solo algunas bacterias con otros perfiles porque se asocia específicamente al aumento en las poblaciones de Acinetobacter.

 

Discusión

Los resultados de este trabajo muestran que alteraciones en la composición bacteriana intestinal, evidenciada por la presencia de bacterias patógenas y el predominio de algunas comensales aeróbicas facultativas, que se observan en muchas patologías inflamatorias intestinales, se relacionan también a distintas patologías cutáneas. Sugiriendo que la presencia de disbiosis intestinal en estos pacientes podría estar involucrada en la fisiopatología de las afecciones inflamatorias cutáneas identificadas.

Por ejemplo, la presencia de acné se asoció al aumento de las colonias de Enterococcus faecium. El mismo perfil que se observó para el acné se encontró para pacientes con dermatitis atópica y nevus, con un predominio de E. coli, Enteroccocus faecalis y Klepsiella sp.  Se ha descrito que la microbiota intestinal influye en el desarrollo del acné a través de la interacción entre ciertas bacterias comensales intestinales y la vía de activación celular mediada por mTOR (mammalian Target oRapamycin por sus siglas en inglés) (15). Se ha demostrado que los metabolitos producidos por la microbiota intestinal regulan la proliferación celular, el metabolismo de los lípidos y otras funciones metabólicas mediadas por mTOR. La activación de la vía mTOR puede, a su vez, afectar la composición de la microbiota intestinal a través de la regulación de la barrera intestinal.

En casos de disbiosis intestinal y alteración de la integridad de la barrera intestinal, esta relación bidireccional puede resultar en un ciclo de retroalimentación positiva de inflamación metabólica. Dado el importante papel de mTORC1 en la patogénesis del acné, esta relación podría ser un mecanismo por el cual bacterias intestinales puede influir en la fisiopatología del acné (8), aunque no se sabe específicamente que géneros de bacteria están implicados en este mecanismo. Solo se ha reportado la disminución de Actinobacteria, un aumento de Proteobacteria y una disminución de la relación Firmicutes/Bacteroidetes (F/B) en pacientes con acné (16). Por otra parte, algunas cepas de E. faecalis no son patógenas y han sido utilizadas como probióticos. De hecho la bacteriocina (SL5) derivada de E. fecalis aplicada tópicamente disminuye significativamente la inflamación en las lesiones de acné (17).

En el caso de la dermatitis atópica, la contribución de la microbiota intestinal al homeostasis inmune se varía según la dieta occidental típica. La homeostasis inmunitaria comienza a formarse en una etapa temprana de la vida mediante la exposición a la microbiota materna, y la flora intestinal del lactante se desarrolla aún más con la exposición a la leche materna, otros alimentos y microbios ambientales (18,19). El bajo contenido de fibra y alto contenido de grasa característico de la dieta occidental cambia fundamentalmente el microbioma intestinal, lo que resulta en una producción deficiente de AGCC que tienen una actividad anti inflamatoria promoviendo mecanismos de regulación inmunitaria, mediados por células T reguladoras e impulsados por TGF-β y/o interleucina 10 (IL-10). La IL-10 ejerce su función inhibidora al inducir la producción de TGF‑β y otras citocinas, así como moléculas de señalización supresoras, incluidas CTLA-4 y PD-1 (18,19).

En adultos la dieta inadecuada pobre en fibra promueve la colonización de enterobacterias en detrimento de bacterias pertenecientes al phylum de los firmicutes que comprende géneros de bacterias productoras de AGCC. En este sentido, este trabajo confirma observaciones anteriores en donde se ha relacionado el aumento de enterobacterias en particular de E. coli  posterior a los 6 meses de edad con la presencia de eczema atópico (20,21).

La rosácea se ha relacionado con la enfermedad inflamatoria intestinal y el crecimiento excesivo de bacterias en el intestino delgado. Trabajos que han estudiado el perfil microbiano fecal y las funciones genéticas potenciales entre sujetos con y sin rosácea han demostrado una reducción significativa de la riqueza microbiana fecal en pacientes con rosácea. Así mismo la estructura de comunidad microbiana fecal distinta. Se ha reportado que los géneros enriquecidos en pacientes con rosácea incluyen Rhabdochlamydia, CF231, Bifidobacterium, Sarcina, Ruminococcus, pertenecientes al filo de Chlamydiae, Bacteroidetes, Actinobacteria y Lentisphaerae. Mientras que los reducidos incluyen Lactobacillus, Megasphaerae, Acidaminococcus, Hemophilus, Roseburia, Clostridium, pertenecen al filo de Firmicutes, así como Citrobacter, perteneciente al filo de Proteobacteria. Estos resultados confirman que la microbiota intestinal influye en el desarrollo de la rosácea.  En este trabajo se mostró que alteraciones en la diversidad de la microbiota aeróbica como la disminución marcada en E. coli están presentes en pacientes con rosácea. Estos hallazgos coinciden con reportes anteriores que han indicado que las lesiones cutáneas de la rosácea se pueden tratar exitosamente con probióticos orales como E. Coli Nissle 19177 (22).

La disminución de E. coli favorece la multiplicación de otras bacterias como Acinetobacter. Aunque no necesariamente la composición de la microbiota intestinal refleja la de la piel, Staphylococcus, Cutibacterium, Pseudomonas, Corynebacterium, Acinetobacter, y Snodgrasella son los grupos de bacterias que en la piel más se asocian a la presencia de síntomas de rosácea en particular en pacientes no tratados (23). Aunque no se determinó en este trabajo su presencia, uno de los patógenos asociados a la rosácea es Helicobacter pylori, una bacteria gram negativa, residente en el estómago, relacionado con ulceración del intestino delgado, cánceres y rosácea. Ha sido reportado que la prevalencia de H. pylori es del 48,9% en pacientes con rosácea frente al 26,7% en controles sanos sin rosácea (24). Por otro lado el tratamiento de H. pylori en pacientes con rosácea mejora significativamente los síntomas (25).

Otras patologías como dermatosis papular nigricans, foliculitis, nevus melanocítico, pitiriasis versicolor y queratosis, también se asociaron a alteraciones en la composición bacteriana. Aunque no hay reportes previos que asocien alguna de estas afecciones a una composición particular de la microbiota o a la presencia de estas bacterias, se puede sugerir que los procesos inflamatorios que se asocian a la disbiosis intestinal podrían promover alteraciones en la piel que pueden conducir a una variedad de signos clínicos. Por ejemplo, se ha reportado que una proporción importante de nevus melanocítico puede progresar a melanoma. En este sentido y cónsono a la presencia de alteraciones de la composición microbiana asociadas al nevus melanocítico, un trabajo reciente examinó las asociaciones entre la disbiosis en la piel y el microbioma intestinal y el crecimiento del melanoma utilizando el modelo porcino MeLiM de progresión del melanoma y regresión espontánea (26).

Se encontró una diferencia significativa en la diversidad y riqueza del microbioma entre el tejido de melanoma y la piel sana y entre el microbioma fecal de los lechones MeLiM y los lechones de control. Lactobacillus, Clostridium sensu stricto 1 y Corynebacterium 1 fueron los géneros más altos en el microbioma de piel sana, mientras que Fusobacterium, Trueperella, Staphylococcus, Streptococcus y Bacteroides fueron más abundantes en el microbioma de tejido de melanoma. Bacteroides, Fusobacterium y Escherichia-Shigella se asociaron con la microbiota fecal de lechones MeLiM. Desde el punto de vista funcional, el microbioma fecal de los lechones MeLiM se enriqueció con genes relacionados con las vías de transporte de membrana que permiten el aumento de la permeabilidad intestinal y la alteración de la barrera de la mucosa intestinal.

 

CONCLUSIONES

En general estos resultados constituyen una evidencia de que alteraciones en la composición microbiana del intestino relacionadas al estado de disbiosis, pueden asociarse a la presencia de afecciones cutáneas. La alteración en distintas subpoblaciones de bacterias se asoció de forma particular a diferentes patologías. La literatura reporta que diferentes mecanismos pueden estar involucrados. Entre ellos, la estimulación no específica de mecanismos de inflamación que favorezcan el desarrollo de patologías cutáneas. Además, el impacto que algunas de estas bacterias podrían tener en la disrupción de la barrera intestinal, que conduce a la translocación a la piel de bacterias que alteran el microbioma de la piel facilitando la instauración de distintos procesos patológicos.

 

REFERENCIAS BIBLIOGRÁFICAS

1. Ahrodia T, Das S, Bakshi S, Das B. Structure, functions, and diversity of the healthy human microbiome. In: Progress in Molecular Biology and Translational Science. 2022. 53–82. https://www.nature.com/articles/nature11234

2. Capone K, Dowd S, Stamatas G, Nikolovski J. Diversity of the human skin microbiome early in life. J Invest Dermatol. 2011; 131(10):2026–32. https://n9.cl/zyx79

3. Szabó K, Erdei L, Bolla BS, Tax G, Bíró T, Kemény L. Factors shaping the composition of the cutaneous microbiota. Vol. 176, British Journal of Dermatology. 2017. p. 344–51. https://n9.cl/txs7l

4. Herrero de Lucas E, Cachafeiro L, Asensio M, Cáceres N. Interacciones entre el huésped y la microbiota. Med. 2018; 12(52):3059–65. https://n9.cl/0978m

5. Flowers L, Grice E. The Skin Microbiota: Balancing Risk and Reward. Vol. 28, Cell Host and Microbe. 2020. p. 190–200. https://n9.cl/39c0t2

6. O’Neill C, Monteleone G, McLaughlin J, Paus R. The gut-skin axis in health and disease: A paradigm with therapeutic implications. BioEssays. 2016; 38(11):1167–76. https://n9.cl/yuxdr

7. Loeffel E, Koya D. Cutaneous manifestations of gastrointestinal disease. Cutis. 1978; 21(6):852–61. https://n9.cl/c2bw3

8. Salem I, Ramser A, Isham N, Ghannoum M. The gut microbiome as a major regulator of the gut-skin axis. Front Microbiol. 2018. 10;9. https://n9.cl/kqbdl0

9. Schwarz A, Bruhs A, Schwarz T. The Short-Chain Fatty Acid Sodium Butyrate Functions as a Regulator of the Skin Immune System. J Invest Dermatol. 2017;137(4):855–64. https://n9.cl/zrwxy

10. Duncan S, Conti E, Ricci L, Walker A. Links between diet, intestinal anaerobes, microbial metabolites and health. Biomedicines. 2023; 11(5):1338. https://n9.cl/8q4i0

11. Lucas J, Mirshahpanah P, Haas-Stapleton E, Asadullah K, Zollner T, Numerof R. Induction of Foxp3+ regulatory T cells with histone deacetylase inhibitors. Cell Immunol. 2009; 257(1–2):97–104. https://n9.cl/bjvab

12. Wang Y, Yin Y, Chen X, Zhao Y, Wu Y, Li Y, et al. Induction of Intestinal Th17 Cells by Flagellins From Segmented Filamentous Bacteria. Front Immunol. 2019 Nov 22;10. https://n9.cl/niypj0

13. Woolery-Lloyd H, Andriessen A, Day D, Gonzalez N, Green L, Grice E, et al. Review of the microbiome in skin aging and the effect of a topical prebiotic containing thermal spring water. Vol. 22, Journal of Cosmetic Dermatology. 2023. p. 96–102. https://n9.cl/t2ssz

14. Kim SJ, Zhang X, Cho S, Kim CH, Park H, Moon S. Uremic solutes of indoxyl sulfate and p-cresol enhance protease-activated receptor-2 expression in vitro and in vivo in keratinocytes. Hum Exp Toxicol. 2021; 40(1):113–23. https://n9.cl/icep4

15. Noureldein M, Eid A. Gut microbiota and mTOR signaling: Insight on a new pathophysiological interaction. Vol. 118, Microbial Pathogenesis. 2018. p. 98–104. https://n9.cl/suift

16. Widhiati S, Purnomosari D, Wibawa T, Soebono H. The role of gut microbiome in inflammatory skin disorders: A systematic review. Dermatology Reports. 2022 Mar 3; 14(1). https://n9.cl/eol9a

17. Kang B, Seo J, Lee G, Kim J, Kim S, Han Y, et al. Antimicrobial activity of enterocins from Enterococcus faecalis SL-5 against Propionibacterium acnes, the causative agent in acne vulgaris, and its therapeutic effect. J Microbiol. 2009; 47(1):101–9. https://n9.cl/6ceblg

18. Lee K, Song Y, Wu W, Yu K, Zhang G. The gut microbiota, environmental factors, and links to the development of food allergy. Clin Mol Allergy. 2020; 18(1):5. https://n9.cl/lserlf

19. Johnson C, Ownby D. The infant gut bacterial microbiota and risk of pediatric asthma and allergic diseases. Vol. 179, Translational Research. 2017. p. 60–70. https://n9.cl/sk64i

20. Adlerberth I, Strachan D, Matricardi P, Ahrné S, Orfei L, Åberg N, et al. Gut microbiota and development of atopic eczema in 3 European birth cohorts. J Allergy Clin Immunol. 2007; 120(2):343–50. https://n9.cl/vkslj

21. Han C, Kwon S, Yeom, Hahm D, Park J, Park H, et al. Exploring the Differences in the Gut Microbiome in Atopic Dermatitis According to the Presence of Gastrointestinal Symptoms. J Clin Med. 2022;11(13):3690. https://doi.org/10.3390/jcm11133690

22. Manzhalii E, Hornuss D, Stremmel W. Intestinal-borne dermatoses significantly improved by oral application of Escherichia coli Nissle 1917. World J Gastroenterol. 2016; 22(23):5415–21. https://n9.cl/pwd08

23. Tutka K, Żychowska M, Reich A. Diversity and composition of the skin, blood and gut microbiome in rosacea—a systematic review of the literature. Vol. 8, Microorganisms. MDPI AG; 2020. p. 1–16. https://www.mdpi.com/883604

24. Gravina A, Federico A, Ruocco E, Schiavo A, Masarone M, Tuccillo C, et al. Helicobacter pylori infection but not small intestinal bacterial overgrowth may play a pathogenic role in rosacea. journals.sagepub.com. 2015; 3(1):17–24. https://n9.cl/65qk7

25. Saleh P, Naghavi-Behzad M, Herizchi H, Mokhtari F, Mirza-Aghazadeh-Attari M, Piri R. Effects of Helicobacter pylori treatment on rosacea: A single-arm clinical trial study. J Dermatol. 2017; 44(9):1033–7. https://n9.cl/te8g3

26. Mekadim C, Skalnikova H, Cizkova J, Cizkova V, Palanova A, Horak V, et al. Dysbiosis of skin microbiome and gut microbiome in melanoma progression. BMC Microbiol. 2022 Dec 1;22(1). https://n9.cl/8bsu9